要闻

股权激励=发红包?“金手铐”解锁门槛可不低

2020-12-08 06:42 上海证券报

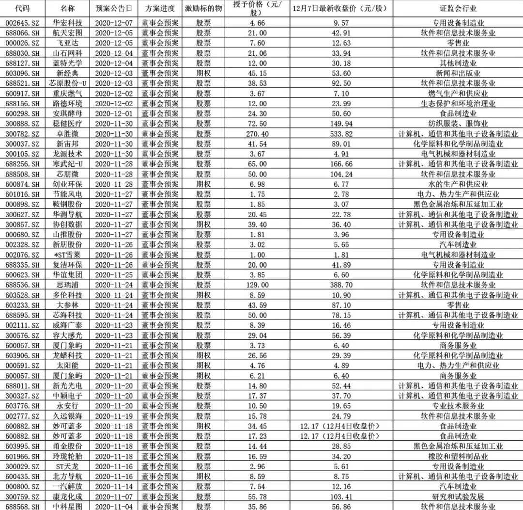
上证资讯统计显示,11月以来,有47家A股公司先后推出股权激励方案。记者注意到,虽然部分公司给出的价格“折扣”力度诱人,但其设置的高门槛解锁条件对于够格参与的“高端打工人”而言,还是存在一定的挑战性。

“金手铐”解锁门槛高

从这47家公司给出的股权激励方案和近期股价表现来看,够格参与的员工“买到即赚到”,但能否真正实现“落袋为安”,还得用实打实的业绩来说话。

以12月7日早间披露股权激励草案的华宏科技为例,公司拟以定向增发的方式向94位核心人员授予1500万股限制性股票(占总股本的2.64%),授予价格为4.66元/股。

虽然4.66元/股的价格较公司12月7日收盘价9.57元,折扣率超过50%,但公司设置的“解锁”门槛并不低。

具体来看,在行权条件方面,公司层面以2019年的净利润为基础,2021年至2022年考核净利润分别不低于3亿元、3.6亿元。上述解锁业绩条件相当于其2021年和2022年净利润较2019年分别增长不低于71%、105%。同时,公司还对子公司层面和个人绩效考核做出要求,满足三项考核后,激励对象方可“落袋为安”。

与华宏科技情况类似的还有蓝特光学。公司在12月3日晚发布公告称,拟向激励对象授予限制性股票330万股,占公司股本总额的0.82%。本次股权激励计划首次授予涉及的激励对象共计47人,限制性股票的授予价格为12元/股。以公司12月7日收盘价30.18元来看,本次股权激励的价格“折扣”幅度不足四折。

不过,其股权激励也有更为严苛的业绩考核条件。公告显示,蓝特光学共设置两种业绩考核方案,以公司层面解除限售比例100%这个指标看,该指标以2019年净利润为基数,解锁条件为2021年至2023年净利润增长率分别不低于80%、133%和204%。

另外,近期披露股权激励方案的新宙邦和安琪酵母,其“解锁”条件也有较高业绩要求。其中,新宙邦首批激励对象为319人,授予价格为41.54元/股(12月7日收盘价为89.01元)。行权条件为:以 2019 年净利润为业绩基数,2020年至2022年净利润增长率分别不得低于50%、65%、82%。

安琪酵母的股权激励则设置了净资产现金回报率(EOE)和净利润两个考核目标。具体来看,公司要求2020年至2022年的EOE分别不低于26%、27%、28%;以2017-2019年业绩均值为基数,2020年至2022年的净利润增长率分别不低于50%、55%、60%。

同时,在完成上述两项指标的前提下,还需满足各年度均不低于同行业对标企业75分位值水平、主业收入占营收比重不低于90%的“额外”要求。

业绩高增长底气何来?

“通过股权激励的深度绑定,让公司骨干从‘被动执行’变成‘主动经营’,留住人才的同时也保障了业绩。”有市场人士告诉记者,另一方面来看,设定如此高的解锁门槛,也表明公司对未来发展充满信心。

作为国内废钢处理设备龙头的华宏科技就是如此。今年以来,公司再生资源装备及运营、电梯零部件制造和稀土资源综合利用三大板块业务发展持续向好。其中,公司在2019年并购的鑫泰科技目前年可产稀土氧化物超2900吨,产品主要销售客户为南方稀土、北方稀土、厦门钨业、金力永磁等国内稀土永磁行业知名企业。

公司在接受调研时表示,目前公司稀土氧化物产品呈现供不应求的状态,三季度产能连续实现突破,产销两旺。泰鑫科技管理团队有信心完成2020年-2021年净利润分别不低于8500万元和1亿元的业绩承诺。

身处电解液行业的新宙邦亦被市场看好。有券商研报认为,电解液行业景气度超预期,2021年公司将实现加速增长,并给出“股权激励解锁难度不大”的预测。

“荆门1万吨加波兰2万吨将于明年二、三季度陆续投产,后续还有两地的二期项目以及海斯福二期3万吨项目跟进;惠州三期5万吨溶剂项目预计将于今年年末或明年初投产,并购的九九久项目也有望于明年并表。”该研报认为公司电解液业务在2021年将迎来产能释放期,一体化建设将带来公司盈利能力的提升。

“股权激励并非简单‘发红包’,而是跟公司的盈利能力、创新能力相挂钩。”有上市公司人士表示,获得股权激励的员工只有勤恳尽责,把公司做大做强,才能真正分享到劳动成果。

责任编辑:何苗
0

分享到

相关推荐